上一篇:关于加强2024年清明节、“三月三”及“五一”节假期间安全管理工作的通知
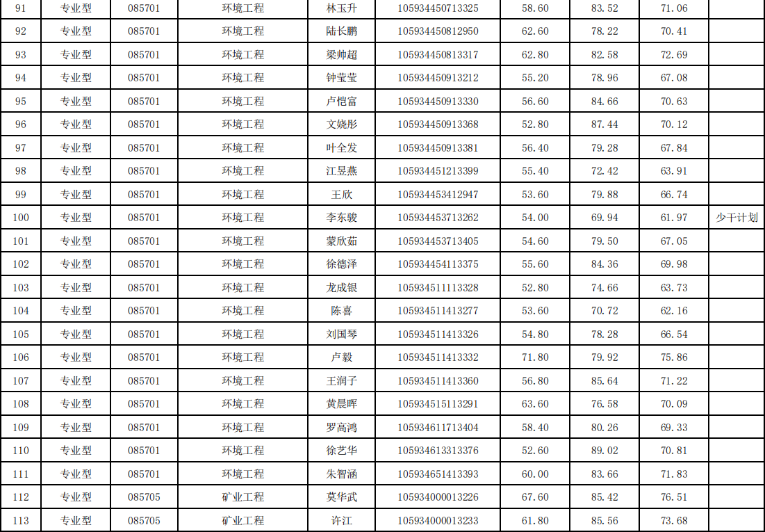
下一篇:广西大学资源环境与材料学院2024年硕士研究生拟复试考生(第一志愿)名单公示
党政办公室:0771-3232200教学办公室:0771-3232274研究生办公室:0771-3234560学生工作组:0771-3225257校友办公室:0771-3227166
地址:广西南宁市西乡塘区大学路100号邮编:530004 Email:zyhjyclxy@gxu.edu.cn
学院微信公众订阅号
版权所有:Copyright@2017 广西大学资源环境与材料学院